肖特基二極管的命名:肖特基二極管是以其發明人肖特基博士( Schottky)命名的,
完整的叫法是:肖特基整流二極管( Schottky Rectifier Diode 縮寫成 SR)
也有人叫做:肖特基勢壘二極管( Schottky Barrier Diode 縮寫成 SBD)的簡稱。但 SBD 不是利用 P 型半導體與 N 型半
導體接觸形成 PN 結原理制作的,而是利用金屬與半導體接觸形成的金屬-半導體結原理制作的。
因此, SBD 也稱為金屬-半導體(接觸)二極管或表面勢壘二極管,它是一種熱載流子二極管。
利用金屬與半導體接觸形成肖特基勢壘構成的微波二極管稱為肖特基勢壘二極管。這種器件對外主要呈現非線性電阻特性是構成微波混頻器、檢波器和微波開關等的核心元件。
結構 肖特基勢壘二極管有兩種管芯結構?點接觸型和面結合
型如圖2-28所示。點接觸型管芯用一根金屬絲壓接在N型半導體外延層表面上形成金半接觸。面結合型管芯先要在N型半導體外延層表面上生成二氧化硅(SiO2)保護層?再用光刻的辦法腐蝕出一個小孔?暴露出N型半導體外延層表面?淀積一層金屬膜(一般采用金屬鉬或鈦?稱為勢壘金屬)形成金半接觸?再蒸鍍或電鍍一層金屬(金、銀等)構成電極。




Rs為半導體的體電阻?又叫串聯電阻。點接觸型二極管的Rs值為十歐姆到幾十歐姆?而面結合型二極管的Rs值約為幾歐姆。Ls為引線電感?為一至幾納亨。Cp為管殼電容?約為幾分之一皮法。
肖特基二極管作為非線性電阻應用時?除結電阻Rj之外?其他都是寄生參量?會對電路的性能造成影響?應盡量減小8
它們本身的值?或在微波電路設計時?充分考慮這些寄生參量的影響。
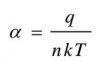
3. 伏安特性?
一般地肖特基勢壘二極管的伏安特性可表示為


與理想金半接觸伏安特性公式(2-29)相比較?式(2-39)多了一個修正因子n。對于理想的肖特基勢壘n=1?
當勢壘不理想時?n>1?且點接觸型二極管n>1.4?面結合型二極管n≈1.05?。
圖2-32是肖特基勢壘二極管的伏安特性曲線。


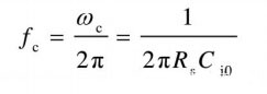
式中?Cj0是零偏壓時二極管的結電容。
當外加電壓的頻率為fc時發生諧振?微波信號在Rs上的損耗為3 dB?二極管不能良好地工作。fc是肖特基勢壘二極
管工作頻率的上限它的值越大肖特基勢壘二極管的頻率特性越好。?目前?砷化鎵肖特基勢壘二極管的截止頻率一般可達400?1000 GHz(砷化鎵材料遷移率高?故Rs小)。點接觸式二極管由于結面積非常小?雖然Rs有所增加?但Cj大大減小?因此fc可高達2000 GHz以上?在毫米波波段中發揮了重要作用。
2) 噪聲比td? ?噪聲比td為肖特基勢壘二極管的噪聲功率與相同電阻熱噪聲功率的比值。肖特基勢壘二極管的噪聲來源于三個方面載流子的散粒噪聲、串聯電阻Rs的熱噪聲和取決于表面情況的閃爍噪聲。由于Rs很小接近理想勢壘且后兩項噪聲與散粒噪聲相比很小可以忽略因而這里僅考慮載流子散粒噪聲的功率。
3) 變頻損耗?肖特基勢壘二極管的基本用途是構成混頻器。混頻器的變頻損耗表征肖特基勢壘二極管實現頻率變換的能力定義為輸入的微波資用功率和輸出的中頻資用功率之比。它與肖特基勢壘二極管的特性以及混頻器的電路形式和工作狀態密切相關
4) 中頻阻抗?肖特基勢壘二極管的中頻阻抗為在額定本振功率激勵下對指定中頻呈現的阻抗。肖特基勢壘二極管的中頻阻抗典型
值為200~600 Ω。
5. 肖特基勢壘二極管的其他問題
肖特基勢壘二極管的主要用途是構成混頻器和檢波器使用場合不同對器件的要求也不同。下面簡要介紹工程設計中需要考慮的一些問題。
1) 勢壘高度
勢壘高度決定正向驅動電壓?影響動態范圍、噪聲系數和接收靈敏度?它與所要求的本振功率密切相關。表2-3給出勢壘高度應用情況。


3) 噪聲系數與本振功率的關系?若本振驅動功率小,則導通角小,變頻損耗大,噪聲系數大。若本振驅動功率過大,則正向電流過大,二極管發熱噪聲增加并且反向導通增加也會降低混頻器的質量。可見?本振功率與噪聲系數有一個最佳范圍。二極管的噪聲來源由三部分構成?即散彈噪聲、熱噪聲和閃爍噪聲。通常?定義二極管的總輸出噪聲與其等效電阻在相同溫度下的熱噪聲功率的比值為噪聲溫度比?器件廠家會給出其典型值。
4) 硅和砷化鎵二極管?硅材料的肖特基二極管的截止頻率高于200 GHz以上工作在Ku頻段以下可以得到良好的性能。在更高的工作頻率或鏡像回收混頻器中需要用到砷化鎵肖特基二極管?其截止頻率在400 GHz以上,這是由于砷化鎵材料電子遷移率高R小。如果選擇混頻器的中頻頻率較小,為了降低噪聲?就必須提高本振驅動功率。為此?毫米波系統常采用多次中頻方案。
烜芯微專業制造二極管,三極管,MOS管,橋堆20年,工廠直銷省20%,1500家電路電器生產企業選用,專業的工程師幫您穩定好每一批產品,如果您有遇到什么需要幫助解決的,可以點擊右邊的工程師,或者點擊銷售經理給您精準的報價以及產品介紹
烜芯微專業制造二極管,三極管,MOS管,橋堆20年,工廠直銷省20%,1500家電路電器生產企業選用,專業的工程師幫您穩定好每一批產品,如果您有遇到什么需要幫助解決的,可以點擊右邊的工程師,或者點擊銷售經理給您精準的報價以及產品介紹

